Stats : average = 113 (out of 160), stdev = 35

Homework 7 has been posted. It is a bit long, maybe.

Please let me know if you have any questions. I will probably add some info here as I find necessary as we go along.

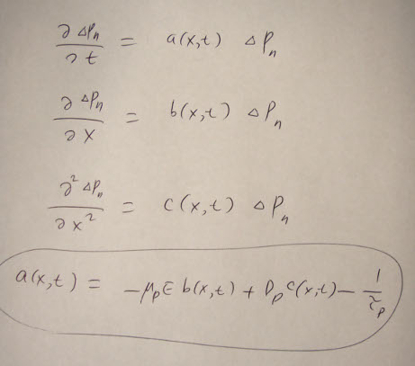
Inlined image: Problem 4a Hint.jpg